数据结构学习笔记<4> 二叉树

发表于 2020-03-15 1871 字 10 min read

站点概览
文章目录
暂无目录

一、什么是树

1.树的定义

树(Tree):n(n≥0)个结点构成的有限集合。 当 n=0 时,称为空树; 对于任一棵非空树(n>0),它具备以下性质:

  1. 树中有一个称为“根(Root)”的特殊结点,用 r 表示
  2. 其余结点可分为 m(m>0)个互不相交的有限集 T1,T2,……,Tm,其中每个集合本身又是一棵树,称为原来树的“子树(SubTree)”。
  3. 子树是不相交
  4. 除了根结点外,每个结点有且仅有一个父结点;
  5. 一个N 个结点的树有N-1 条边

2.树的一些基本术语

1. 结点的度(Degree): 结点拥有子结点的数量 2. 树的度最大的结点的度称为树的度 3. 叶结点(Leaf)度为 0 的结点 4. 父结点(Parent)如果有上一个结点,则称这个上一结点是它的父结点,如果没有上一结点,则这个属性则无父结点。 5. 子结点(Child): 若 A 结点是 B 结点的父结点,则称 B 结点是 A 结点的子结点;子节点也称孩子结点 6. 兄弟结点(Sibling): 具有同一父结点的各结点彼此是兄弟结点。 7. 路径和路径长度: 从结点 n1 到 nk 的路径为一个节点序列 n1,n2,……,nk,ni 是 ni+1 的父结点。路径所包含边的个数为路径的长度 8. 祖先结点(Ancestor): 沿树根到某一结点路径上的所有节点都是这个结点的祖先结点 9. 子孙结点(Descendant): 某一结点的子树中所有结点是这个结点的子孙 10. 结点的层次(Level): 规定根结点在 1 层,其它任一结点的层数是其父结点的层数加 1。 11. 树的深度(Depth): 树中所有结点的最大层次是这棵树的深度。 12. 森林: m 棵不相交的树的集合

二、树的表示

1.儿子-兄弟表示法

在这里插入图片描述 在这里插入图片描述

三、二叉树

1.定义

二叉树 T: 一个有穷的结点集合。 这个结点可以为空 若不为空,则它是由根结点和称为其左子树 TL右子树 TR的两个不相交的二叉树组成 二叉树具体五种基本形态 a 空树 b 只有一个结点 c 有一个结点和左子树 d 有一个结点和左子树 e 有一个结点和左右子树 在这里插入图片描述 PS:二叉树的子树有左右顺序之分

几种特殊二叉树 在这里插入图片描述 二叉树的抽象数据类型定义 类型名称:二叉树 数据对象集:一个有穷的结点集合。 若不为空,则由根结点和其左、右二叉子树组成。 操作集:BT∈BinTree,Item∈ElementType,重要操作有:

  1. Boolean IsEmpty(BinTree BT); //判别 BT 是否为空
  2. void Traversal(BinTree BT); //遍历,按某顺序访问某个结点;
  3. BinTree CreatBinTree(); //创建一个二叉树

常用的遍历方法有:

  • void PreOrderTraversal(BinTree BT); //先序---根、左子树、右子树
  • void InOrderTraversal(BinTree BT); //中序---左子树、根、右子树
  • void PostOrderTraversal(BinTree BT); //后序---左子树、右子树、根
  • void LevelOrderTraversal(BinTree BT); //层次遍历,从上到下、从左到右

2.二叉树的几个重要性质

  • 一个二叉树第 i 层的最大节点数2^i-1^,i≥1。
  • 深度为 k的二叉树有最大结点总数2^k^-1,k≥1。
  • 对任何非空二叉树 T,若 n0 表示叶结点的个数、n2 是度为 2 的非叶结点个数,那么两者满足关系 n0=n2+1。
  • 具有n 个结点的完全二叉树深度 k必为log2n+1

3.二叉树的存储结构

1、顺序存储结构

完全二叉树:按从上至下、从左到右顺序存储n个结点的完全二叉树的结点父子关系

  • 非根结点(序号 i > 1)的父结点的序号是 [i / 2] ;(向下取整)

  • 结点(序号为 i)的左孩子的序号是 2i(2i ≤ n,否则没有左孩子)

  • 结点(序号为 i)的右孩子的序号是 2i+1(2i + 1 ≤ n,否则没有右孩子)

    一般二叉树也可采用这种顺序存储结构,但是会造成空间浪费

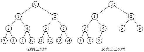
    满二叉树:除最后一层无任何子节点外,每一层上的所有结点都有两个子结点的二叉树,区别于完全二叉树在这里插入图片描述

2、链式存储

(1)定义
typedef struct TreeNode *BinTree;
typedef BinTree Position;
struct TreeNode {
  ElementType Data;
  BinTree Left;
  BinTree Right;
}
(2)遍历(递归实现)
先序遍历

1.先访问根结点;2.先序遍历其左子树;3.先序遍历其右子树。

void PreOrderTraversal(BinTree BT) {
 if(BT) {
  printf("%d", BT->Data);
  PreOrderTraversal( BT->Left);
  PreOrderTraversal( BT->Right);
 }
}
中序遍历

1.中序遍历其左子树 2.访问根结点 3.中序遍历其右子树。

void InOrderTraversal(BinTree BT) {
 if(BT) {
  InOrderTraversal( BT->Left);
  printf("%d", BT->Data);
  InOrderTraversal( BT->Right);
 }
}
后序遍历

1.后序遍历其左子树 2.后序遍历其右子树。3.访问根结点

void PostOrderTraversal(BinTree BT) {
 if(BT) {
  PostOrderTraversal( BT->Left);
  PostOrderTraversal( BT->Right);
  printf("%d", BT->Data);
 }
}
(2)遍历(非递归实现)

基本思路:使用堆栈或队列

中序遍历非递归遍历算法
  • 遇到一个结点,就把它压栈,并去遍历它的左子树
  • 左子树遍历结束后,从栈顶弹出这个结点并访问它
  • 然后按其右指针再去中序遍历该结点的右子树
void InOrderTraversal(BinTree BT) {
 BinTree T = BT;
 Stack S = CreatStack(MaxSize);//创建并初始化堆栈S
 while( T || !IsEmpty(S) ) {
  while(T) {//一直向左并将沿途结点压入堆栈
   Push(S, T);
   T = T->Left;
  }
  if( !IsEmpty(S) ) {
   T = Pop(S); //结点弹出堆栈
   printf("%5d", T->Data);//访问结点
   T = T->Right;//转向右子树
  }
 }
}
层序遍历
  • 需要一个存储结构保存暂时不访问的结点(堆栈、队列) 队列实现:遍历从根节点开始,首先将根节点入队,然后开始执行循环:结点出队、访问该节点、其左右儿子入队 1.根结点入队;2.从队列中取出一个元素;3.访问该元素所指结点;4.若该元素所指结点的左、右孩子结点非空,将其左、右孩子的指针顺序入队
void LevelOrderTraversal(BinTree BT) {
 Queue Q;  BinTreee T;
 if ( !BT ) return; //若是空树直接返回
 Q = CreateQueue(MaxSize);//创建并初始化队列Q
 AddQ(Q, BT);
 while( !IsEmpty(Q) ) {
  T = DeleteQ(Q);
  printf("%d\n", T->Data);//访问结点
  if(T->Left) AddQ(Q, T->Left);//将左孩子放入队列
  if(T->Right) AddQ(Q, T->Right);//将右孩子放入队列
 }
}

补充知识 > 数据管理的基本操作之查找:根据某个给定关键字 K,从集合 R 中找出关键字与 K 相同的记录,分为静态查找与动态查找 静态查找:集合中记录是固定的,没有插入和删除操作,只有查找。 法 1:顺序查找 (哨兵概念:在数组的边界上设一个值,碰到哨兵循环就可以结束了,可以少一个分支判断)复杂度 O(n); 法 2:二分查找 (前提:数组连续且有序) 动态查找:集合中记录时动态变化的,除查找外还可能发生插入和删除